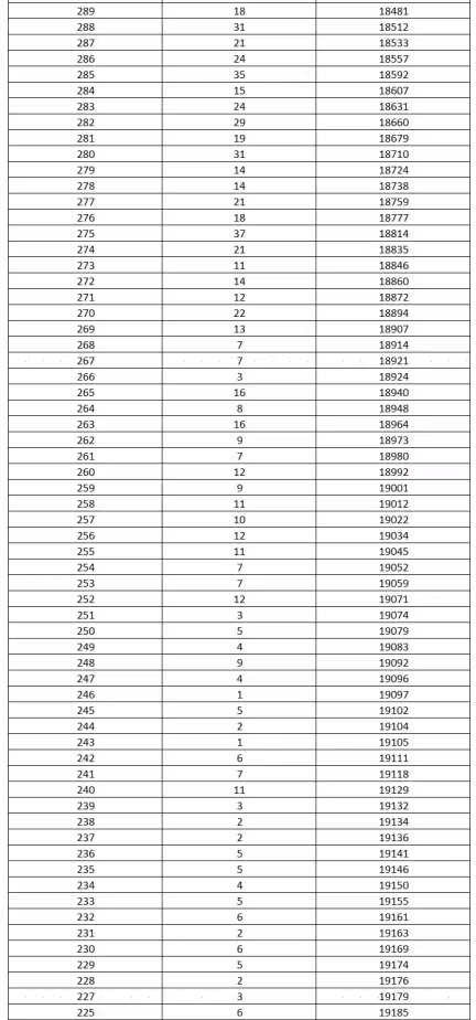
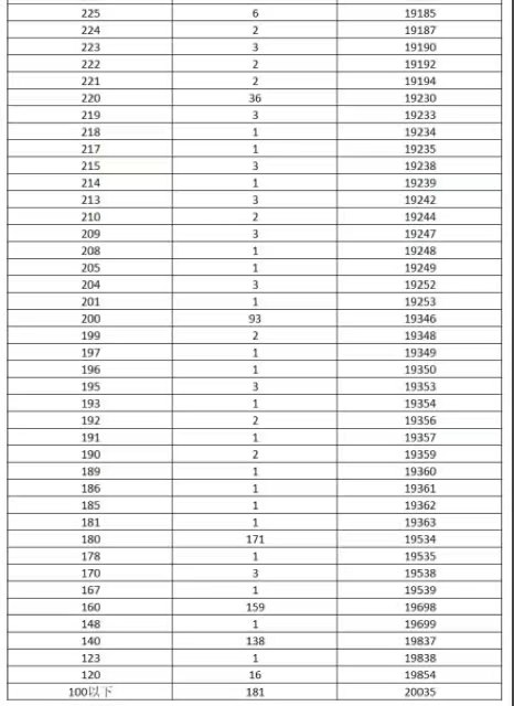
2022年河北单招考试七类一分一档表
2022年河北单招考试七类一分一档表
于老师2022-05-09 16:31:20855
阅读更多
相关文章
- 2025-11-01石家庄信息工程职业学院2025年高职单招技能拔尖人才免试录取办法
- 2025-11-01唐山幼儿师范高等专科学校2025年单独考试招生免试考生录取相关说明
- 2025-11-01河北青年管理干部学院2025年高职单招技能拔尖人才申请免试通知
- 2025-11-01河北化工医药职业技术学院关于2025年高职单招技能拔尖人才免试录取的通知
- 2025-11-01河北软件职业技术学院2025年高职单招免试录取申请考生须知
- 2025-11-01河北政法职业学院关于2025年单招免试录取申请的公告
- 2025-10-24速藏!河北高考报名五问五答,复读生(社会考生)必看攻略!
- 2025-10-24紧急提醒!河北单招农村独生子女速办 10 分加分,逾期直接作废!
- 2025-10-242026年河北单招考生高考报名热点问题汇总
- 2025-10-24河北单招考试二类适合女生五大专业








网友评论